在芝麻加工產業中,機械化收獲已成為提升生產效率的關鍵手段,但機收過程中產生的籽粒損傷會直接影響后續芝麻香油、芝麻醬的品質特性,其中色澤作為產品感官品質的核心指標,不僅影響消費者選購意愿,更能直觀反映原料品質與加工工藝的穩定性。研究表明,機收損傷會加速芝麻儲藏期間的脂質氧化,導致芝麻香油色澤更深、偏黃偏紅,而芝麻醬則呈現色澤變淺、色差波動增大的特點。傳統人工感官評價方式受主觀因素影響大,難以量化色澤差異,無法滿足規?;a中對品質一致性的要求。此外,芝麻制品的色澤還與焙炒程度、儲藏時間等因素密切相關,需借助精準檢測工具捕捉細微色彩變化。彩譜科技CS-821N分光測色儀采用分光測色原理,能夠客觀輸出L、a、b等色彩參數,將視覺感知轉化為可量化的數據,為芝麻加工企業提供科學的色澤管控方案,助力企業穩定產品品質、優化生產工藝。

客觀量化芝麻油的細微色差
為了客觀、精確地評估芝麻油的色澤差異,研究人員采用了彩譜科技的CS-821N分光測色儀。該儀器基于CIE(國際照明委員會)推薦的色度學系統,通過測量樣品反射或透射的光譜數據,計算出其在色彩空間中的精確數值。
在本研究中,CS-821N被用于檢測所有芝麻油樣品的色澤參數。具體操作如下:
1. 樣品制備:將不同儲藏期的機收芝麻與手工收獲芝麻分別制成芝麻香油樣品。
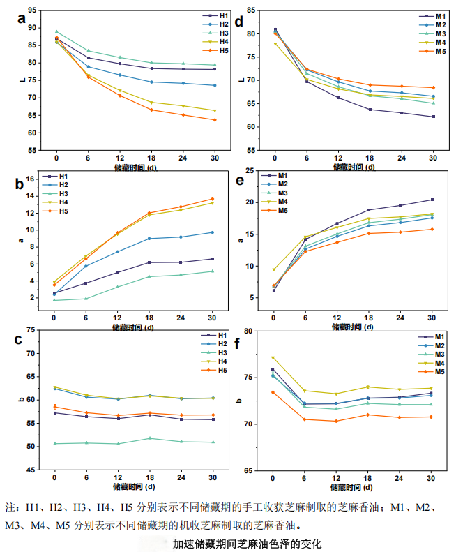
2. 色澤測量:使用CS-821N分光測色儀,在標準光源條件下,測量每個油樣的L、a、b值。其中:
L值代表亮度,數值越大表示顏色越白、越亮;
a值代表紅綠色度,正值表示偏紅,負值表示偏綠;
b值代表黃藍色度,正值表示偏黃,負值表示偏藍。
通過這一方法,研究人員獲得了精確的、可重復的色澤數據,避免了肉眼觀察的主觀性,為后續的數據分析和結論提供了堅實基礎。
實驗數據顯示,CS-821N的測量結果清晰地揭示了不同加工原料對芝麻油色澤的影響:
1. 機械化收獲導致色澤加深:對比手工收獲的芝麻,由機收芝麻制取的芝麻油,其L值普遍更低,而a值和b值則更高。這表明,機收芝麻制作的香油顏色更深,且色調偏向紅、黃色。這可能是由于機收損傷導致芝麻種皮破損,在焙炒過程中,內部的芝麻仁能更直接地接觸熱量,美拉德反應更充分,從而形成了更深沉的色澤。
2. 色澤變化趨勢可被量化:在后續的加速儲藏實驗中,CS-821N也捕捉到了芝麻油在儲藏過程中的色澤動態變化。所有油樣的L值隨儲藏時間延長而下降,a值上升,表現為顏色進一步加深、變紅。CS-821N提供的精確數值,使研究者能夠客觀描述這一氧化過程中的外觀變化。

彩譜CS-821N 分光測色儀在芝麻加工行業的應用,實現了色澤評價從主觀到客觀的轉變。通過量化的色澤數據,企業能夠精準把控原料品質、優化加工工藝、穩定成品質量,有效應對機收芝麻加工帶來的品質波動挑戰。儀器操作便捷、檢測高效的特點,適配生產線快速檢測需求,同時數據可追溯的功能為企業品質管理提供了有力支撐。
在追求品質標準化的芝麻加工行業,彩譜CS-821N分光測色儀以精準的檢測性能,成為企業把控產品感官品質的重要工具,助力行業實現規?;a與品質穩定的雙重目標。